高壓水射流清洗鍋爐管式空氣預熱器出口速度計算
時間:2013-12-10 14:10:55作者:LeeZhou來源:德高潔清潔設備分享到:QQ空間新浪微博騰訊微博人人網微信
鍋爐在長期的運行中會引起管式空氣預熱器堵塞,究其原因通常有四點,第一是省煤器漏水引起預熱器大面積堵塞;第二是省煤器或空氣預熱器用水清洗后,在其尚未干燥的情況下啟動鍋爐引起空氣預熱器的堵灰;第三是保溫材料等雜物進入空氣預熱器內引起煙流不暢而堵灰;第四是煙氣中二氧化硫和三氧化硫引起的堵灰。
高壓水射流清洗技術是以水為介質,利用高壓水發生裝置產生高壓水,通過噴嘴將巨大的壓力轉變為能量高度聚集的水射流,利用高壓水射流的強大沖擊力沖擊污垢,把污垢剝離、清除,從而達到清洗的目的。由于高壓水射流具有沖刷、楔劈、剪切、磨削等復合破碎作用,可立即將結垢物打碎脫落并沖走,從而實現垢層和管壁的分離。
高壓水射流清洗技術用于鍋爐管式空氣預熱器清堵不僅要求高壓水射流能將管內的堵灰清洗掉,并可以及時將清洗掉的堵灰帶出管外,而且還要求噴嘴和與其相連接的高壓水軟管,在清洗時能自動地在空氣預熱器管內前進,以減輕清洗工人的勞動強度。為了滿足上述要求,我們選擇了分流式噴嘴結構,使從噴嘴出口的射流分成兩部分,一部分由噴嘴前孔射出,另一部分由噴嘴的反射孔射出。噴嘴前孔噴出的射流垂直打擊在管內堵灰上,可直接清洗管內堵灰。噴嘴反射孔噴出的射流以反射角作用在內壁上,不僅能進一步清洗管內壁上的堵灰,并將清洗掉的堵灰及時排出管外,而且能使管壁對噴嘴產生向前的反作用力,使噴嘴在管內便于前進。分流式噴嘴的工作原理如下圖:

射流出口速度計算:
根據質量守恒定律,高壓水射流進出噴嘴的體積流量滿足:
公式(1)
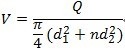
一般認為V1=V2=V,則由公式(1)可得:
公式(2)
高壓水射流清洗技術是以水為介質,利用高壓水發生裝置產生高壓水,通過噴嘴將巨大的壓力轉變為能量高度聚集的水射流,利用高壓水射流的強大沖擊力沖擊污垢,把污垢剝離、清除,從而達到清洗的目的。由于高壓水射流具有沖刷、楔劈、剪切、磨削等復合破碎作用,可立即將結垢物打碎脫落并沖走,從而實現垢層和管壁的分離。
高壓水射流清洗技術用于鍋爐管式空氣預熱器清堵不僅要求高壓水射流能將管內的堵灰清洗掉,并可以及時將清洗掉的堵灰帶出管外,而且還要求噴嘴和與其相連接的高壓水軟管,在清洗時能自動地在空氣預熱器管內前進,以減輕清洗工人的勞動強度。為了滿足上述要求,我們選擇了分流式噴嘴結構,使從噴嘴出口的射流分成兩部分,一部分由噴嘴前孔射出,另一部分由噴嘴的反射孔射出。噴嘴前孔噴出的射流垂直打擊在管內堵灰上,可直接清洗管內堵灰。噴嘴反射孔噴出的射流以反射角作用在內壁上,不僅能進一步清洗管內壁上的堵灰,并將清洗掉的堵灰及時排出管外,而且能使管壁對噴嘴產生向前的反作用力,使噴嘴在管內便于前進。分流式噴嘴的工作原理如下圖:

射流出口速度計算:
根據質量守恒定律,高壓水射流進出噴嘴的體積流量滿足:
一般認為V1=V2=V,則由公式(1)可得:
公式(2)熱門搜索: