高壓清洗機噴嘴直徑對射流收縮的影響
時間:2015-01-14 15:53:10作者:LeeZhou來源:德高潔清潔設備分享到:QQ空間新浪微博騰訊微博人人網微信
設計合理的一臺高壓清洗機,高壓泵所發送出來的高壓水應當完全從噴嘴里噴出來,形成高壓水射流對清洗靶物進行清洗或破碎工作。如果噴嘴設計不合理,就會造成相當大的水流在噴射系統中溢流回水箱,這就造成了很大能量的浪費。如果假定沒有溢流損失,那么在噴嘴出口處,由于水射流通過噴嘴出口處產生自然收縮,致使高壓泵流量不能完全從噴嘴流出所造成的能量損失,我們稱之為水射流收縮損失,下面主要說一下高壓清洗機噴嘴直徑對射流收縮的影響。

高壓清洗機噴嘴直徑對射流收縮的影響:
噴嘴的基本形狀如上圖,它由圓錐段 A 和圓柱段 B 組成。高壓水流經由圓錐段 A 進入圓柱段 B 之后獲得很高的加速度。出口處由于射流產生折射,其面積也由 變成小于 F0 的 F1 ,即射流不能按照理論上計算的流量排出。故在噴嘴前后出現了能量損失或效率問題。
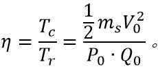
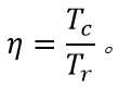
通常我們將噴嘴效率 η 值用噴嘴輸出能量 Tc 與輸入能量 Tr 的比值來表示,請見公式(1):
(1)
式(1)可以改寫成:
(2)
式(2)中,ms —水射流的質量流量,kg/s;
V0 —水射流出口速度,m/s;
P0 —噴嘴出口壓力,MPa;
Q0 —噴嘴出口容積流量,m³/s。
將(2)式簡化后可得(3)式:
(3)
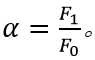
式(3)中,K —液體特征常數;
α —流量收縮系數;
μ —射流速度系數。
流量收縮系數可由(4)式表示:
(4)
由上圖可見,隨著噴嘴直徑的增加,收縮系數開始呈下降趨勢,但當噴嘴直徑達到0.4 mm以后,α 值下降趨于平緩,當 α 值達到0.5 mm以后 α 值幾乎不再下降。即噴嘴直徑越大,收縮系數下降越微小,甚至可以忽略不計。

高壓清洗機噴嘴直徑對射流收縮的影響:
噴嘴的基本形狀如上圖,它由圓錐段 A 和圓柱段 B 組成。高壓水流經由圓錐段 A 進入圓柱段 B 之后獲得很高的加速度。出口處由于射流產生折射,其面積也由 變成小于 F0 的 F1 ,即射流不能按照理論上計算的流量排出。故在噴嘴前后出現了能量損失或效率問題。
通常我們將噴嘴效率 η 值用噴嘴輸出能量 Tc 與輸入能量 Tr 的比值來表示,請見公式(1):
(1)式(1)可以改寫成:
(2)式(2)中,ms —水射流的質量流量,kg/s;
V0 —水射流出口速度,m/s;
P0 —噴嘴出口壓力,MPa;
Q0 —噴嘴出口容積流量,m³/s。
將(2)式簡化后可得(3)式:
(3)式(3)中,K —液體特征常數;
α —流量收縮系數;
μ —射流速度系數。
流量收縮系數可由(4)式表示:
(4)

上一篇:如何避免高壓清洗機泵頭損壞
下一篇:高壓磨料水射流除銹設備的結構組成介紹
熱門搜索: